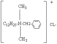
Dodecyldimethylbenzylammonium chloride
CAS NO. 139-07-1

Other names:
Lauryl Dimethyl Benzyl Ammonium Chloride
1227
Benzododecinium Chloride
C12-Alkylbenzyldimethylammonium Chloride
Dimethylbenzyllaurylammonium Chloride
Lauryldimethylbenzyl Ammonium Chloride
N-Dodecyl-N,N-Dimethyl-Benzenemethanaminium Chloride
Benzenemethanaminium,N-Dodecyl-N,N-Dimethyl-,Chloride
BKC
Nature:
Appearance: yellow and white waxy solid or colloid
Amine salt content: ≤1.5%
Active matter content: ≥90%
Molecular weight: 340.05
Feature:
The product can dissociate into cation active groups. Therefore it has the performance of cleanliness, and sterilization. Long-term exposure easy to absorb moisture in the air, this product is fast light, heat-resisting, compression resistance; stable, long-term storage does not affect the quality.
Purpose:
It is widely used in medical surgery in the disinfection of the skin and surgical machinery, it is also widely used in disinfection, corrosion, emulsification, detergency, solubilization, etc... This product has a high bactericidal ability, toxicity in industrial water treatment, no cumulative toxicity, and dissolved in water, easy to use, the water PH does not has effect on it, and it has a strong exfoliation. Therefore it especially suitable for large-scale petrochemical installations, power plants and other circulating cooling water biocide agent and sludge remover, it used to control the circulating cooling water system to accumulate the sulfate-reducing bacteria breeding in the dirt.
Usage:
Dosing the product 1 to 2 times every month. Dosing concentration(20—50)mg/L
Packaging and Storage: The product is packaged by 50KGWide mouth plastic drum. Store in a cool room, storage period is two year.
















